Graphene materials are very suitable for the development of sensors due to their huge specific surface area and excellent electrical conductivity. Our laboratory has mainly done some researches in the field of graphene-based gas sensors and graphene-based biosensors.
Graphene-based gas sensors
Compared with the traditional ceramic base solid sensors and The electrochemical Gas sensor,The Low dimensional nano material sensor based on graphene and derivatives has higher sensitivity, response speed, lower detection threshold, and much lower power consumption compared with traditional solid-state gas sensors. In addition, due to its high compatibility with modern micro-nano processing technology, it has high device density and lower device cost under the condition of mass production. At present, our laboratory has made some achievements in the sensing research of NO2, NH3 and H2 gases.
NO2 gas sensor

FIG. 1 Response characteristics of CVD graphene-based sensor to NO2
The graphene-based gas sensor prepared by CVD graphene can achieve a fast response to NO2 at room temperature. As can be seen from the figure, our response time can reach 2 s.
NH3 gas sensor

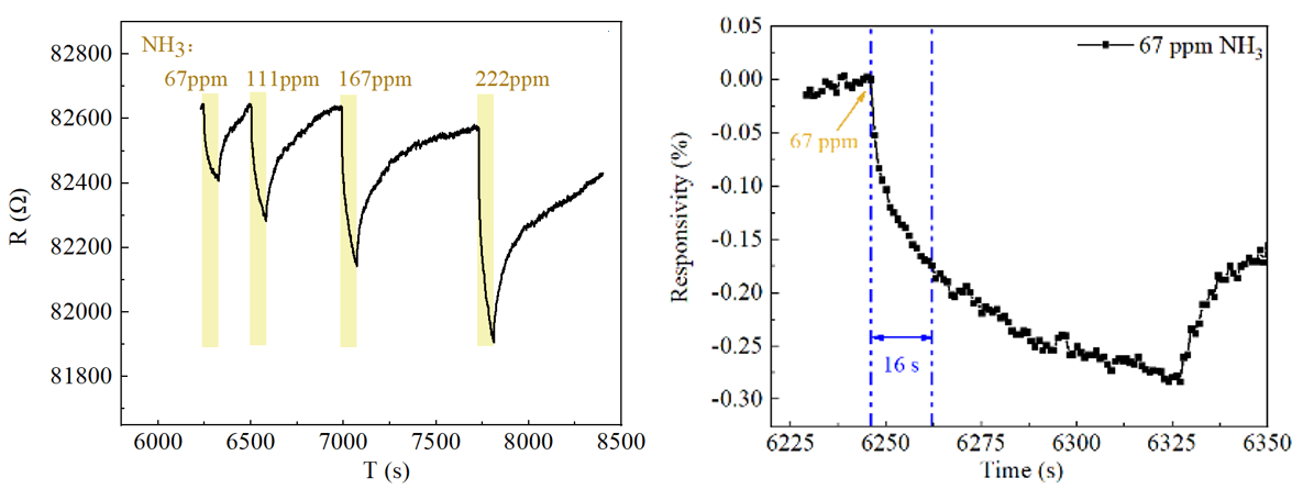
FIG. 2 Response characteristics of thermal reduction graphene oxide based gas sensor to NH3
The graphene-based gas sensor prepared by TRGO (thermal reduced graphene oxide) can achieve a rapid response to NH3 at room temperature, as shown in the figure, our response time can reach 16 s (60%).
H2 gas sensor

FIG. 3 Response characteristics of graphene-based gas sensor to H2
The graphene-based gas sensor prepared by CVD graphene can achieve a fast response to H2 at room temperature, and the response time can reach 4 s.