【引言】
在纯硅(Si)团簇中掺杂过渡金属(TM)不仅可能增加其稳定性,还可能使其用于具有特殊性质的团簇组装材料。由于TMSi团簇在纳米材料和半导体中的潜在应用,在过去的二十年中,人们通过实验和密度泛函理论(DFT)计算对这种类型的团簇进行了深入的研究。由于缺乏高精度的实验数据,对n≥14尺寸的TMSin团簇的研究相对较少。基于此,我们采用高精度光电能谱并结合密度泛函理论对CrSinˉ(n=14-18)团簇的结构演化、电子和磁学性质进行了系统研究。
【成果简介】
通过遗传算法结合密度泛函理论对CrSinˉ(n=14-18)团簇的基态结构进行了广泛地搜索。通过对比实验和模拟的光电能谱确定了这些团簇的基态结构。尺寸n=14和n=15更倾向于笼状结构,而较大尺寸则更倾向于包裹Cr原子的类富勒烯笼状结构,额外的Si原子附着在笼表面。Hirshfeld分析表明,在所有团簇中Cr原子都充当电子供体,从而提高了笼中的电子数。研究还表明,除了CrSi17ˉ中的Cr原子贡献了负磁矩外,其他所有团簇显示的1 μB的磁矩主要由Cr原子贡献。
【图文导读】

图1. CrSinˉ(n=14-18)团簇的实验(红线)和理论(蓝线)光电能谱对比图。

图2. CrSinˉ(n=14-18)团簇的低能异构体。黄色和灰色小球分别表示Si和Cr原子。

图3. CrSi14ˉ团簇的四个异构体在Pople-type基组和Karlsruhe-type基组的相对能量。

图4. CrSinˉ(n=14-18)团簇的实验和理论垂直电离能。

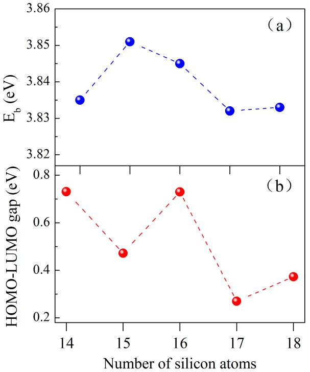
图5. CrSinˉ(n=14-18)团簇的平均结合能和HOMO-LUMO gap。

图6. CrSinˉ(n=14-18)团簇中Cr原子上的电荷分布。
【文章题目】
Photoelectron Spectroscopy and Density Functional Investigation of the Structural Evolution, Electronic, and Magnetic Properties of CrSinˉ(n=14-18) Clusters 论文通讯作者为马雷教授,第一作者为博士生王凯。相关研究成果刊登于The Journal of Physical Chemistry A,https://doi.org/10.1021/acs.jpca.1c09557